3月初,我看了一下运营的数据,月销售超过10万美金的店铺,有20个以上。最高的单月销售额超过96万美金。很多新卖家都会好奇,这些店铺卖的都是什么产品,如何才能快速找到爆款产品呢?
卖的什么产品,肯定是不方便说的,说了老板和客户不锤死我才怪。但是,我可以跟大家讲一讲,产品部门是如何选品的,这个方法非常值得新卖家借鉴。
好了,废话不多说,直接干货。
1、产品形态。在选择一款产品时,你要对一款产品有足够的了解。我们在上产品时,一般都会和工厂沟通很久,对产品的优劣势有足够深的了解,才能够发掘产品的卖点,从而写出优质的文案描述产品的用途,否则写出来的文案味同嚼蜡,更无法展示出产品的精髓。

因此,新卖家在选品的时候,建议从自己比较熟悉的领域开始,或者从自己身边的产业带中去寻找,比如亚马逊家纺类目,有很多小类目的头部卖家都是南通或者绍兴当地的。他们在刚开始做亚马逊的时候,就是从身边的产业带开始开发,这样既有价格优势,又能防范断货风险,同时对产品的质量把控也更好。
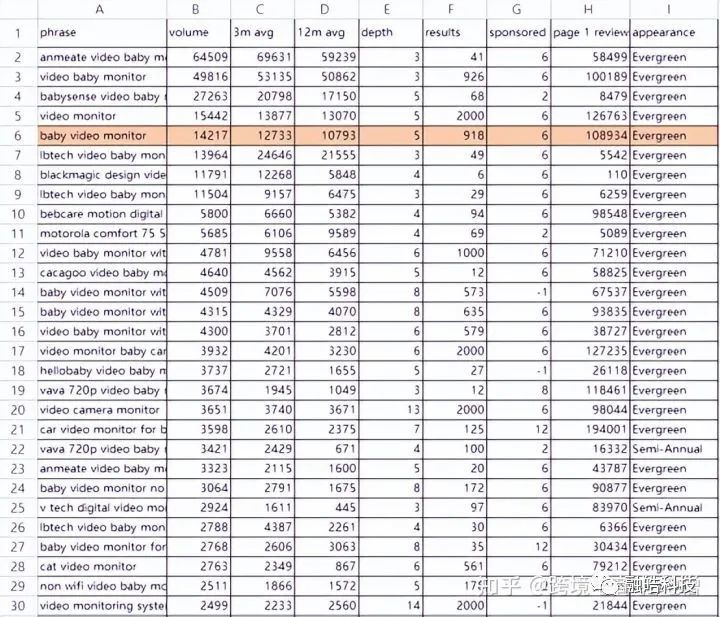
2、第二步是数据分析。分析数据的软件有很多,比如JS、softime、amzcout等等都可以用,有些功能能要付费使用,这点比较坑,我们常用的是JS,新手可以用试用版的。
需要分析的数据有关键词的搜索热度、近3个月和近12个月的平均热度、关键词深度、搜索结果、首页review数量、竞争热度等等。
从这些数据中,我们要找到搜索热度、广告数量、竞争热度都相对中等的产品。搜索热度高,竞争也就更大;搜索热度低,市场体量也就小了很多。

以上这些是亚马逊平台的数据。除此之外,我们还要关注亚马逊站外的热度,其中最重要的就是谷歌趋势。

谷歌趋势能很好地集中反映关键词的搜索热度,从曲线中也能判断产品的季节性,这是卖家通过数据来分析产品的重要参考指标。
3、同类产品分析。前面2步都是从宏观上看产品的市场需求,接下来我们还要看产品在销售过程中的整体表现。这里就要分析产品的品牌、售价、月销量、预估销售额、月销入、上架时间、上架年份、毛利润、评论数量、星级、排名及卖家类型(即亚马逊自营还是卖家经营)、产品颜色、属性、材质、是否有专利等等。
通过这些数据,我们可以看到这个产品被买家接受的程度,以及在市场上的总体表现。同时,我们还可以通过数据对比分析,我们可以看到该产品的整体竞争情况,找出自家产品和其他同类产品的区别.............
原文转载:http://fashion.shaoqun.com/a/1186156.html
转运中国:http://www.ikjzd.com/w/1549
今日新闻|新政规范电商发展:在埃及当网红也需要上税了!:http://www.kjdsnews.com/a/588923.html
菜鸟成立信天翁国际货运新公司,进一步布局跨境物流:http://www.kjdsnews.com/a/588924.html
收藏!广告投放常用知识及术语解释大合集:http://www.kjdsnews.com/a/588925.html
95后团队入驻3个月成平台类目TOP 1,大件商品也能畅销东南亚:http://www.kjdsnews.com/a/588926.html
2项提醒:WishPost国庆节安排,另有部分渠道路向关闭或限流!:http://www.kjdsnews.com/a/588927.html
2021深圳国庆有烟花看吗?表演时间及地点盘点:http://www.30bags.com/a/714406.html
fedex官网:http://m.ikjzd.com/w/518
showroom:http://m.ikjzd.com/w/899
应用APP广告主必做!Facebook移动应用所有权验证详细流程:https://m.ikjzd.com/articles/162431
割草机器人或许是下一个出海新风口:https://m.ikjzd.com/articles/162474
没有评论:
发表评论